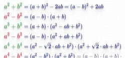
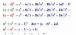
Linguagem:
Fórmulas de multiplicação resumida
As fórmulas da multiplicação resumida permitem transformar a expressão matemática a uma olhada, mais simples para a decisão. As fórmulas aplicam-se à remoção de suportes de forma triangular de graus, para diminuir no grau da soma e uma diferença e a outra simplificação matemática.
Nas fórmulas dadas abaixo, em vez de símbolos «a» e «b» os valores numéricos, a variável ou qualquer expressão matemática e as fórmulas podem aplicar-se.



